ПОМОГИТЕ РЕШИТЬ
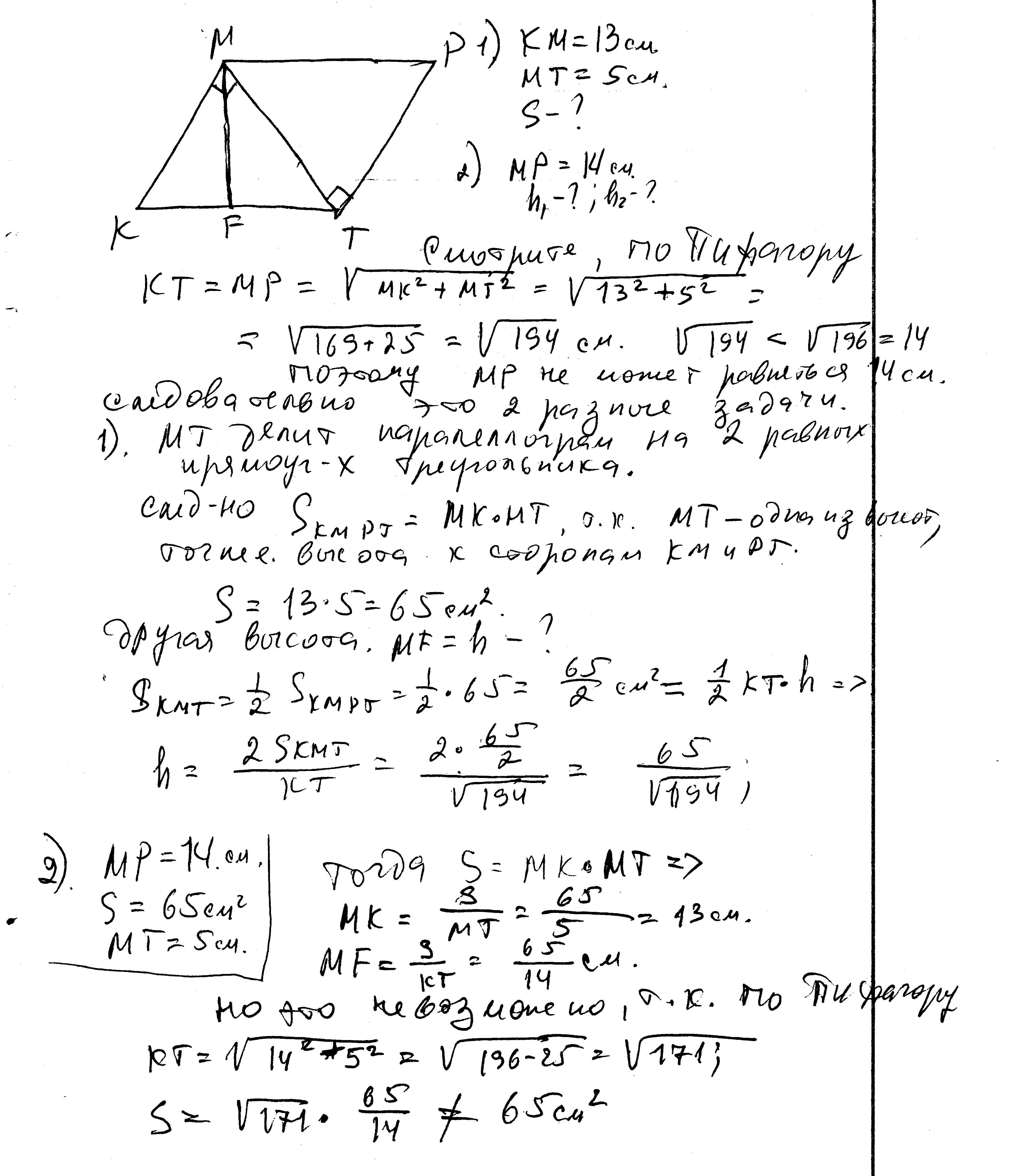
В параллелограмме KMPT диагональ MT перпендикулярна MK, KM=13 см, MT=5см. Найти S(KMPT) и его высоты, если MP= 14см.
Ответы
Ответ дал:
0
Условие задачи некорректно. Нормального текста не нашел. В интернете в основном тиражируется решение, данное в майле ру. Оно не полное и частично неверное. Такой параллелограмм невозможен. В тексте решения это показано. На первой странице решение с данным условием. Если считать, что МТ перпендикулярно другой стороне, становится чуть лучше, но и это условие неверное. Показаны некоторые возможности решения данной задачи. Это на второй и третьей странице. Выбирайте что по душе. :)
Приложения:
Вас заинтересует
3 года назад
3 года назад
8 лет назад
8 лет назад
11 лет назад
11 лет назад
11 лет назад
11 лет назад