• Предмет: Математика
  • Автор: aminabizhanova3
  • Вопрос задан 3 года назад

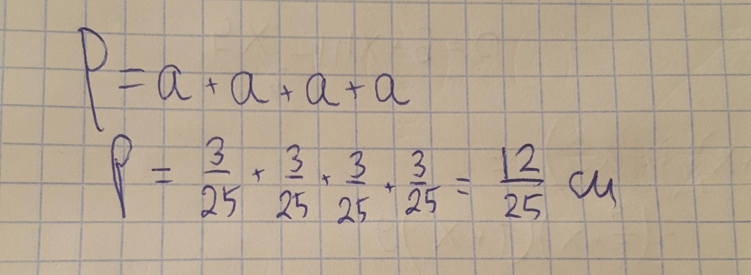
найди периметр квадрата сол стороной 3/25 см​

Ответы

Ответ дал: vityamath
4

Пошаговое объяснение:

Решение на фотографии

Приложения:

Аноним: правильно
aminabizhanova3: спасибо большое
Аноним: это правильно ,я сома лично проверила в билим ленде
Вас заинтересует