• Предмет: Математика
  • Автор: alanshaisultanov
  • Вопрос задан 3 года назад

решите пожалуйста дам 20 баллов у меня сорр пожалуйстааааа ​

Приложения:

Ответы

Ответ дал: pashagutorov00
0

Ответ:

Пошаговое объяснение:

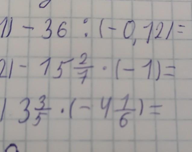
1)=36:0,12=300

2)=-107/7*(-1)=107/7=15,2

3)=18/5*(-25/6)=-3*5=-15


alanshaisultanov: мне нужно расписатт
alanshaisultanov: я не понял не фига
alanshaisultanov: сорри сперва не понял потом разобрался
Вас заинтересует