• Предмет: Алгебра
  • Автор: hakerr564PWQJH
  • Вопрос задан 3 года назад

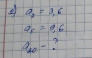
срочно помогите
.............!!!!!!​

Приложения:

Ответы

Ответ дал: kiler345621
0

Ответ:

38,4

Объяснение:

Просто надо было подумать хорошенько . Не болейте

Вас заинтересует