Ответы
Ответ дал:
0
Ответ:
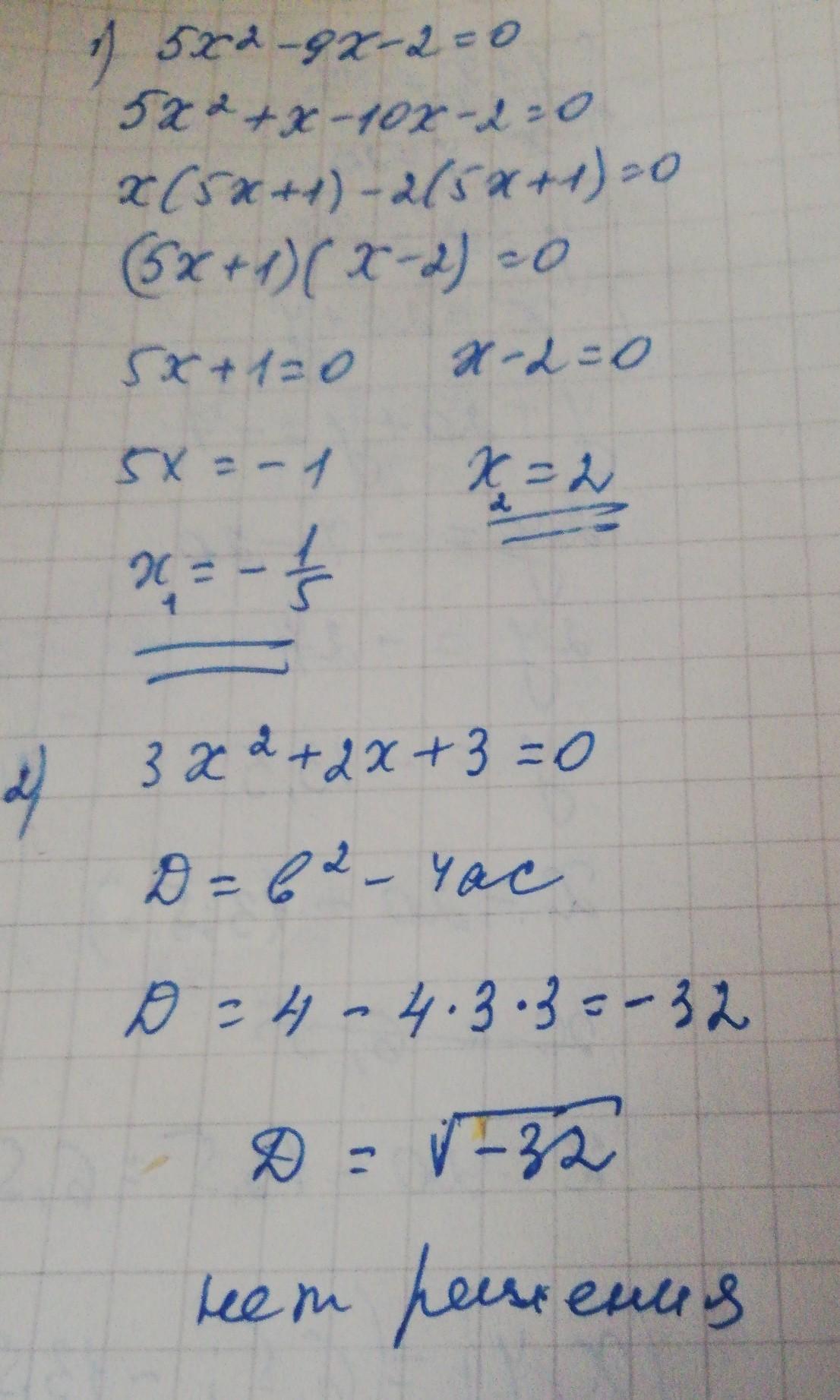
Смотри решение на фото
Приложения:

Аноним:
помогите с новым вопросом пд
Вас заинтересует
2 года назад
2 года назад
7 лет назад
9 лет назад