• Предмет: Математика
  • Автор: yasmina0608a
  • Вопрос задан 3 года назад

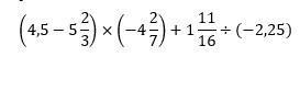
найдите значение выражения (4,5-5 2/3) ×(-4 2/7)+1 11/16+(-2,25) СРОЧНО ПЖ!!!​

Приложения:

Ответы

Ответ дал: anipoli09
0

Ответ:

4 7/16

Пошаговое объяснение:

Проверила на калькуляторе, это правильно

Вас заинтересует