• Предмет: Алгебра
  • Автор: koala82288
  • Вопрос задан 3 года назад

помогите пожалуйста!!​

Приложения:

Ответы

Ответ дал: viktoriakim594
0

Ответ:

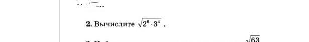
2^3 × 3^2

8×9

72

Объяснение:

Рада была помочь)

Вас заинтересует