Ответы
Ответ дал:
1
Ответ:
Решите уравнение.
Приложения:

Adinozka:
спс!
Ответ дал:
0
Ответ:
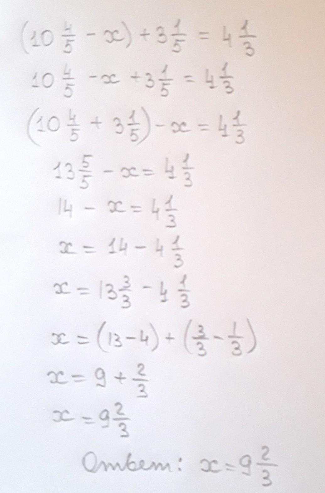
х = 9 2/3
Пошаговое объяснение:
(10 4/5-x)+3 1/5=4 1/3
(54/5 - х) + 16/5 = 13/3
-х = 13/3 - 16/5 - 54/5
-х = 13/3 - 70/5
-х = 4 1/3 - 14
-х = - 9 2/3
х = 9 2/3
Вас заинтересует
2 года назад
2 года назад
2 года назад
7 лет назад
9 лет назад
9 лет назад