• Предмет: Математика
  • Автор: ddsdsdsd234343
  • Вопрос задан 3 года назад

Дам 35 баллов за решение одного задания!!
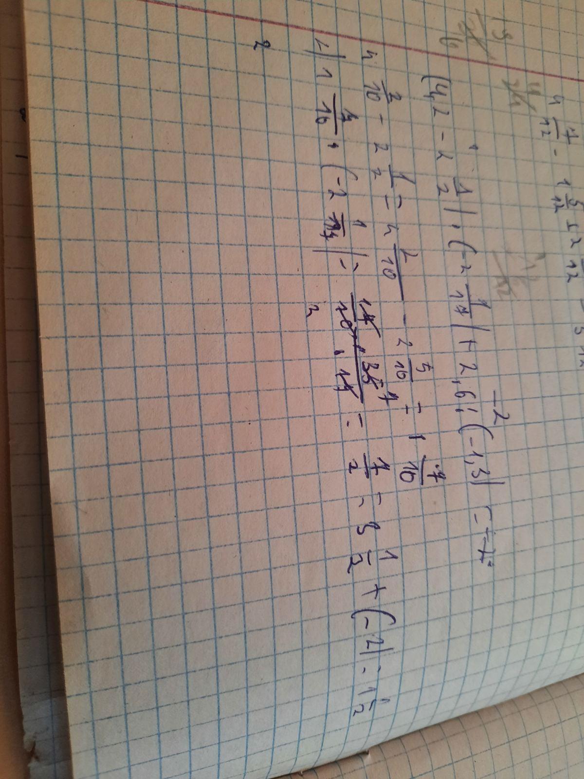
1. Найдите значение выражения: (4,2-2 1/2)∙(-2 1/17)+2,6:(-1,3)

Ответы

Ответ дал: avihlaev3
1

Ответ:

$-5\frac{1}{2}

Пошаговое объяснение:

\left(4,2-2\frac{1}{2}\right)\cdot \left(-2\frac{1}{17}\right)+2,6\div \left(-1,3\right)=1\frac{7}{10}\cdot \left(-2\frac{1}{17}\right)+\left(-2\right)=\left(-3\frac{1}{2}\right)+\left(-2\right)=\left(-5\frac{1}{2}\right)=-5\frac{1}{2}=-5.5


avihlaev3: да
dragodlodki: а можешь мне помоч с другими заданиями пжалуйста по сору
avihlaev3: с каким?
avihlaev3: только отметь мой ответ как лучший
fadedkl: я пока чтоо не могу
fadedkl: 2. Вычислите, используя свойства умножения: 2,25 ∙(-1,34)+2,25 ∙5,34
fadedkl: вот пж помоги
fadedkl: https://znanija.com/task/40762472
avihlaev3: решил
avihlaev3: 2,25 ∙(-1,34)+2,25 ∙5,34 = 9
Ответ дал: Aligg
1

все в файле, сам разберешься

Приложения:

dragodlodki: спс
Aligg: не за что
Вас заинтересует