• Предмет: Математика
  • Автор: Pranya69
  • Вопрос задан 3 года назад

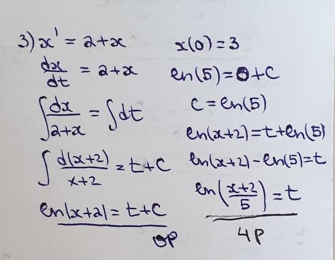
Дифференциальные уравнения

Приложения:

Miroslava227: нет, я не об этом
Miroslava227: там написано х'=2+х
Pranya69: тогда не знаю(
Miroslava227: и получается должна быть еще какая-то переменная
Miroslava227: кроме х
Miroslava227: ладно я оставлю тогда t
Miroslava227: вот посмотрите на 5 уравнение
Miroslava227: там s"(t)
Miroslava227: и в 3 возможно х'(t)
Pranya69: новая тема, поэтому не разбираюсь

Ответы

Ответ дал: Miroslava227
1

Ответ:

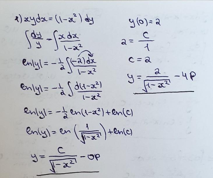
решение на фотографиях

ОР - общее решение

ЧР - частное решение

Приложения:

Pranya69: спасибо тебе огромное
Вас заинтересует