• Предмет: Математика
  • Автор: katyakishuk
  • Вопрос задан 3 года назад

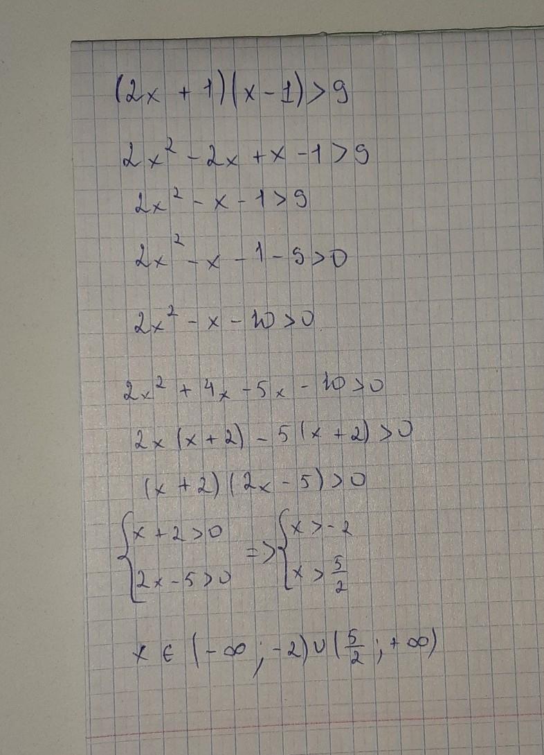
Решите неравенство (2x+1)(x-1)>9. Подробно с решением

Ответы

Ответ дал: indiiiiiiii
2

Ответ:

ответ фото

......................

Приложения:

katyakishuk: спасибо
Вас заинтересует