Помогите с интегралами, пожалуйста. Нужно решить все три.
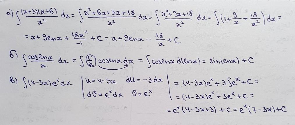
Пример под буквой "В" нужно решить с помощью интегрирования по частям.
Приложения:

Ответы
Ответ дал:
1
Ответ:
решение на фотографии
Приложения:

victoriaqq:
Снова здравствуйте). Под буквой в надо еще решить как и неопределенный интеграл. То есть двумя способами букву в..
Вас заинтересует
2 года назад
7 лет назад
7 лет назад
9 лет назад