• Предмет: Математика
  • Автор: ninaerwova48
  • Вопрос задан 3 года назад

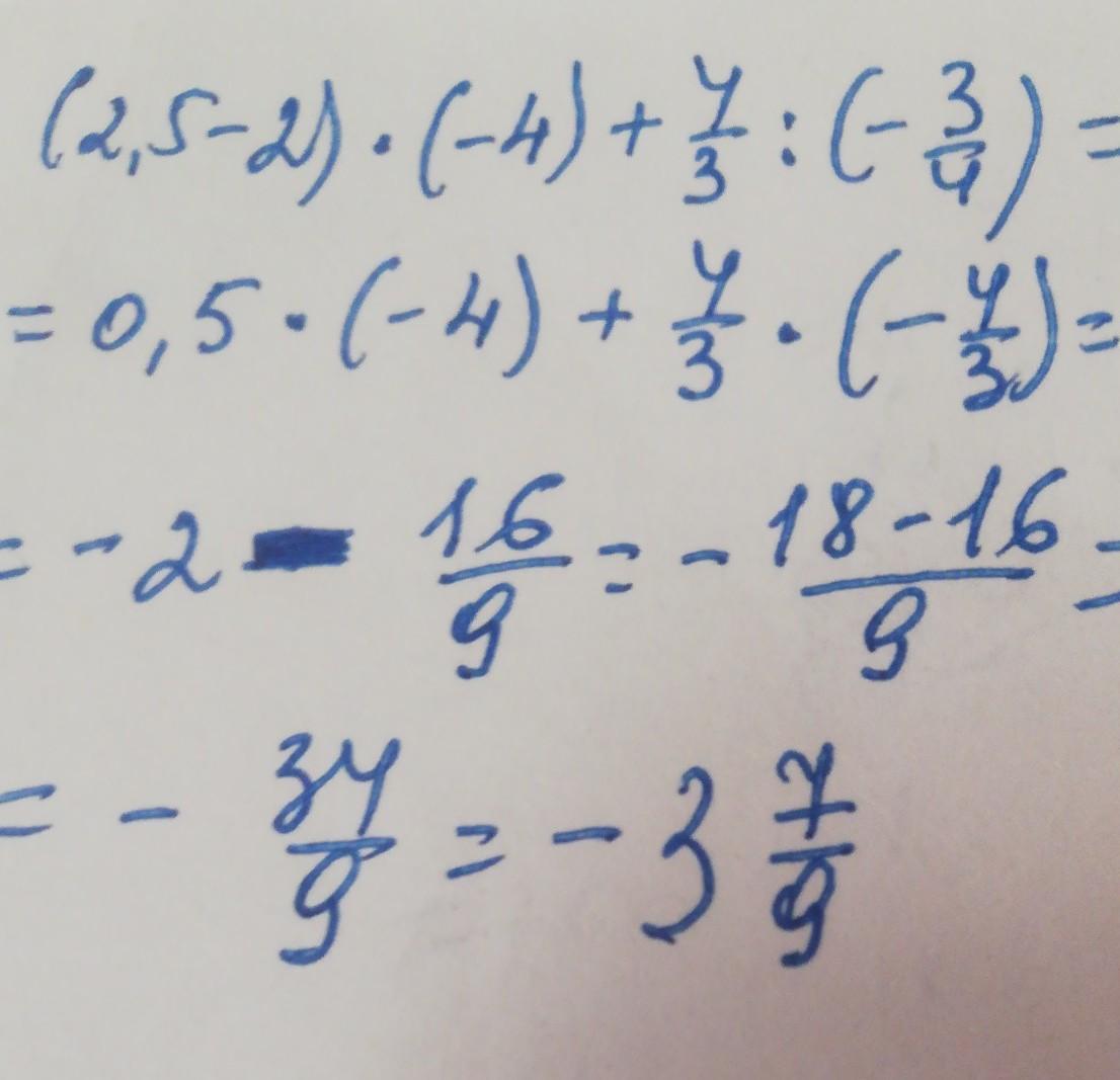
(2.5-2)*(-4)+4/3:(-3/4) найти значение выражения​

Ответы

Ответ дал: serovaksusa1
0

Ответ:

Смотри решение на фото

Приложения:
Ответ дал: Sirokiy
0

Ответ:

-8+4x

Пошаговое объяснение:

2x(-4)+4x

-(2*4)+4x

Вас заинтересует