Ответы
Ответ дал:
0
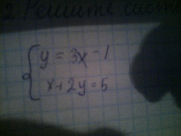
у=3х-1
х+2у=5
у=3х-1
2у=5-х
2*(3х-1)=5-х
6х-2=5-х
7х=7
х=1
подставим значение
у=3х-1
у=2
х+2у=5
у=3х-1
2у=5-х
2*(3х-1)=5-х
6х-2=5-х
7х=7
х=1
подставим значение
у=3х-1
у=2
Вас заинтересует
3 года назад
3 года назад
8 лет назад
8 лет назад
11 лет назад