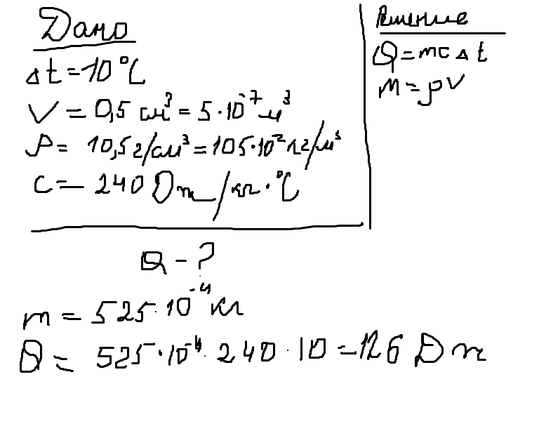
какое кол-во теплоты Q потребуется для нагревания на t=10C серебрянной монеты объёмом v=0.5см3? плотность серебра p=10.5г/см3
Ответы
Ответ дал:
0
во вложении.........................
Приложения:

Вас заинтересует
2 года назад
2 года назад
8 лет назад
10 лет назад
10 лет назад
10 лет назад