• Предмет: Математика
  • Автор: МАКСИМ23458657
  • Вопрос задан 3 года назад

ПОМОГИТЕ ПОЖАЛУЙСТА С МАТЕМАТИКОЙ
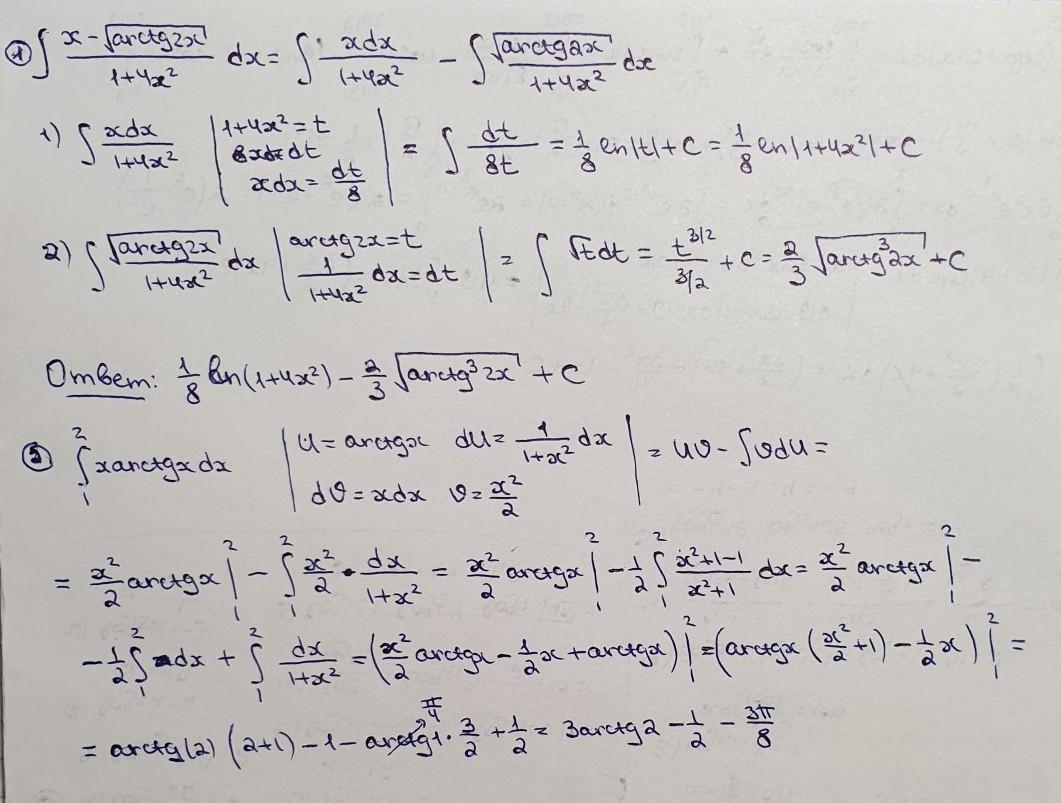
Вычислить неопределенные и определенные интегралы, применяя подходящие подстановки

Приложения:

Ответы

Ответ дал: Miroslava227
1

Ответ:

решение на фотографии

Приложения:
Вас заинтересует