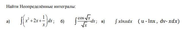
Помогите с интегралами, пожалуйста. Нужно решить все три.
Пример под буквой "В" нужно решить с помощью интегрирования по частям.
Приложения:

Ответы
Ответ дал:
1
Ответ:
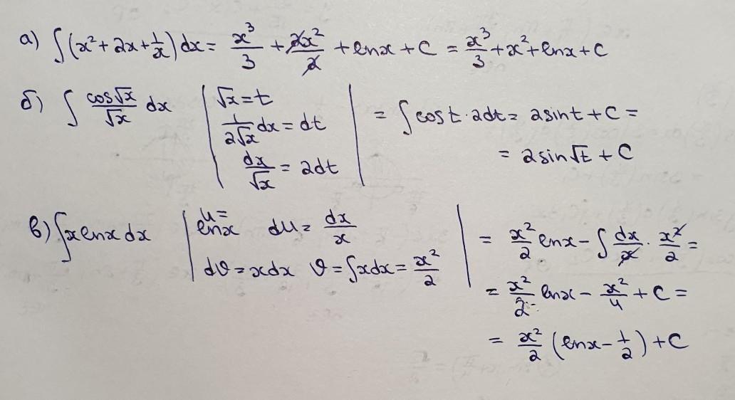
решение на фотографии
Приложения:

Вас заинтересует
2 года назад
2 года назад
2 года назад
2 года назад
7 лет назад