• Предмет: Математика
  • Автор: taffytka
  • Вопрос задан 3 года назад

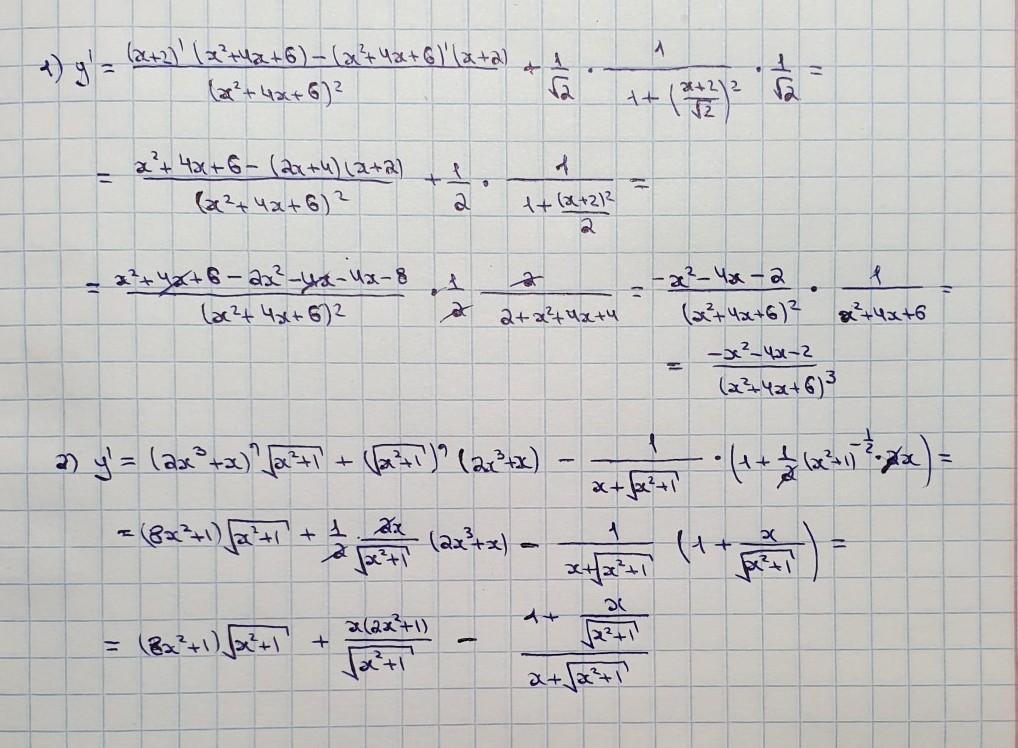
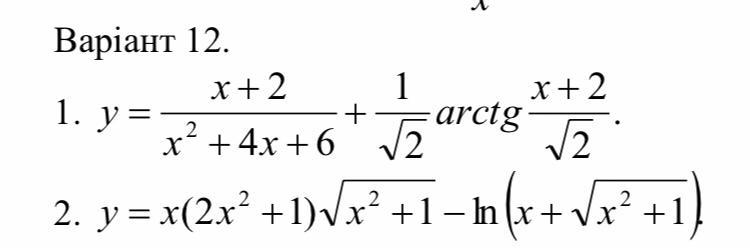
Потрібно знайти похідну

Приложения:

Ответы

Ответ дал: Miroslava227
1

Ответ:

решение на фотографии

Приложения:
Вас заинтересует