Помогите срочно. У меня 2 выйдет если что мне в первом и во втором пошаговое решение нужно.Заранее спасибо!
Приложения:

Ответы
Ответ дал:
2
Ответ:
Пошаговое объяснение:
Приложения:

Ответ дал:
1
Пошаговое объяснение:
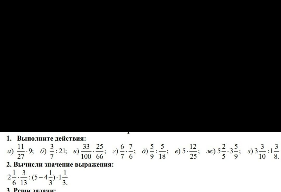
1.
а) 11/27×9=11/3
б) 3/7÷21=3/7×1/21=1/7×1/7=1/49
в) 33/100×25/66=1/4×1/2=1/8
д) 5/9÷5/18=5/9×18/5=2
е) 5×12/25=12/5
ж) 5 2/5×3 5/9=27/5×3×5/9=3×3=9
з) 3 3/10÷1 3/8=33/10×3/8=99/80
2.
(перепиши сам пример из задания, мне лень)=13/6×3/13÷(5-13/3)×1/3=13/6×3/13÷2/3×1/3=1/6×3/2=1/2×1/2=1/4
вроде так : )
Вас заинтересует
2 года назад
2 года назад
2 года назад
7 лет назад
7 лет назад
9 лет назад