• Предмет: Математика
  • Автор: Аноним
  • Вопрос задан 3 года назад

запишите в виде неправильной дроби смешанную дробь ​

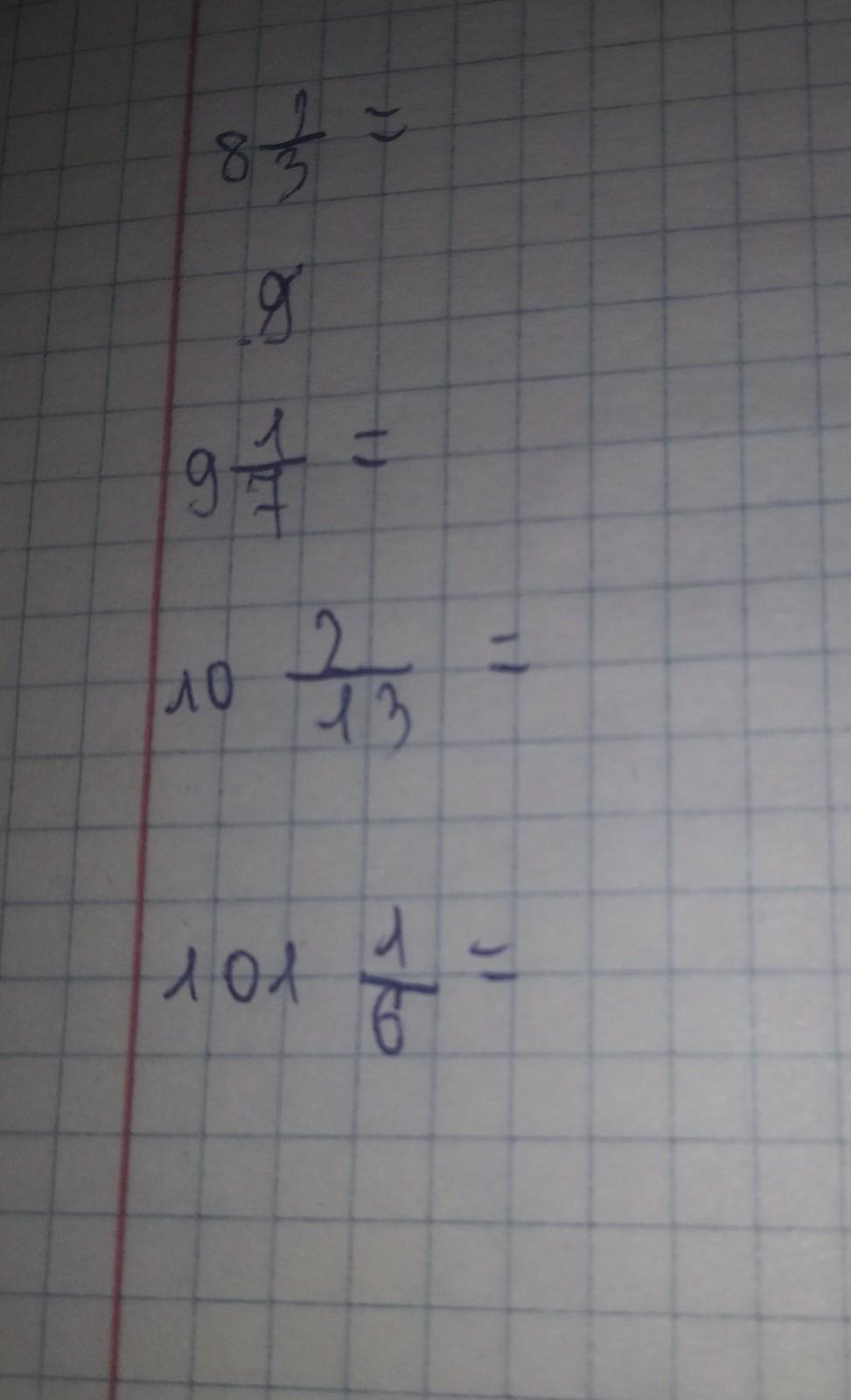
Приложения:

Ответы

Ответ дал: Qwqlio
1

Ответ:

Пошаговое объяснение:

25/3

64/7

132/13

607/6

Ответ дал: vokich2020
1

Ответ:

Легко! Снизу смотри.

Пошаговое объяснение:

1) 8 1/3 = 25/3

так как 8*3=24 и +1 =25/3

2) 9 1/7 = 64/7

так как 9*7= 63 и +1 = 64/7

3) 10 2/13 = 132/13

так как 13*10= 130 и +2 =132/13

4) 101 1/6 = 607/6

так как 101*6=606 и +1=607/6

Сори что так долго, удачи и хороших оценок!


Аноним: спасибо
vokich2020: незачто можно лучший ответ
Вас заинтересует