• Предмет: Математика
  • Автор: ismagulov09t
  • Вопрос задан 3 года назад

-5/9*(-19)*1 4/5 помогите​

Ответы

Ответ дал: alesyaperova
3

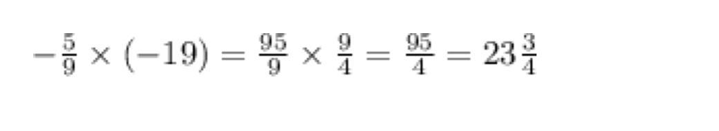
Ответ:

 -  \frac{5}{9}  \times ( - 19) =  \frac{95}{9}  \times  \frac{9}{4}  =  \frac{95}{4}   =23 \frac{3}{4}

Пошаговое объяснение:

ну вроде так


Аноним: пасиба
Alimzan: А где 1 4/5
Ответ дал: zhamina14
0
ответ на фото
ответ: 23/3/4
Приложения:
Вас заинтересует