• Предмет: Математика
  • Автор: help2956pp
  • Вопрос задан 3 года назад

help, помогите ребят, оч срочно нужно. Решите правильно plz.

Приложения:

help2956pp: только прошу подробно и нормально, без вот этих /+()/(/^^^

Ответы

Ответ дал: futnekteam
0

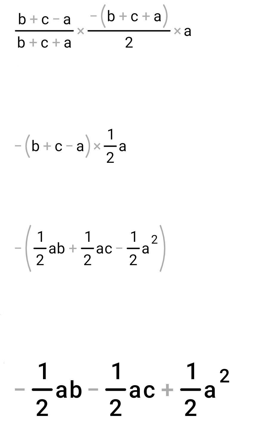
Ответ:

- 1/2ab - 1/2ac + 1/2a²

Решение на изображениях идёт по порядку

Приложения:

help2956pp: блин, не так.
futnekteam: Это так
help2956pp: через фотоматч конечно так, там по другому совсем.
Вас заинтересует