• Предмет: Алгебра
  • Автор: moam
  • Вопрос задан 3 года назад

На фото не много срочно !
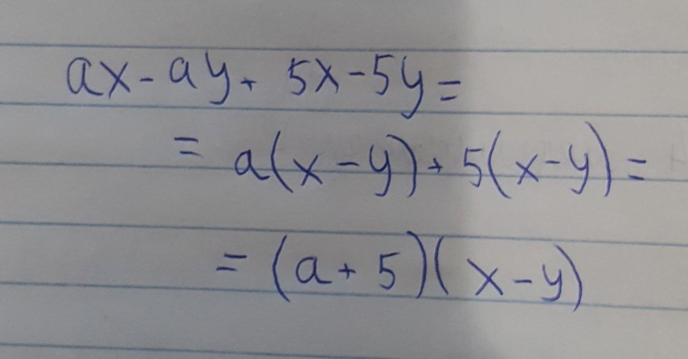
Розкласти на множники, застосовуючи метод групування.

Приложения:

Ответы

Ответ дал: vityamath
1

Объяснение:

Решение на фотографии

Приложения:
Вас заинтересует