• Предмет: Алгебра
  • Автор: fufocycgicgicghoc
  • Вопрос задан 3 года назад

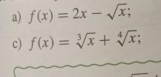
Найдите производную f(x)​

Приложения:

Ответы

Ответ дал: Miroslava227
0

Ответ:

a)y' = 2 -  \frac{1}{2}  {x}^{ -  \frac{1}{2} }  = 2 -  \frac{1}{2 \sqrt{x} }

c)y' =  \frac{1}{3  } {x}^{ -  \frac{2}{3} }   +  \frac{1}{4}  {x}^{ -  \frac{3}{4} }  =  \frac{1}{3 \sqrt[3]{ {x}^{2} } }  +  \frac{1}{4 \sqrt[4]{ {x}^{3} }  }

Вас заинтересует