• Предмет: Алгебра
  • Автор: magometovadel
  • Вопрос задан 3 года назад

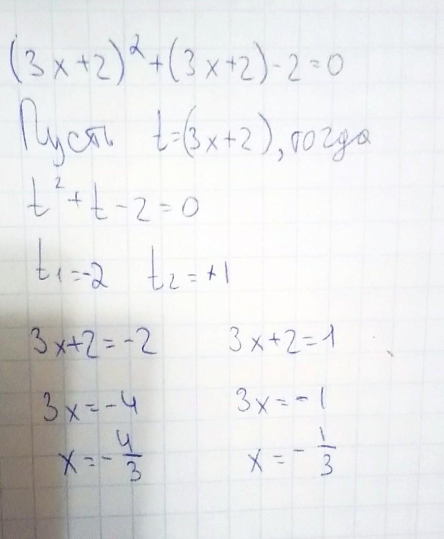
Сделай замену, чтобы упростить квадратное уравнение
(3х + 2)? + (3х + 2) -2= 0
+
Сделаем замену t = 3х + 2
= 0​

Ответы

Ответ дал: podpisnovafish
3

Ответ:

Если я правильно поняла условия, то...

Приложения:
Вас заинтересует