• Предмет: Алгебра
  • Автор: fachiradana
  • Вопрос задан 3 года назад

Решить систему методом постановки


Пожалуйста очень срочно надо дам 30 баллов ​

Приложения:

Ответы

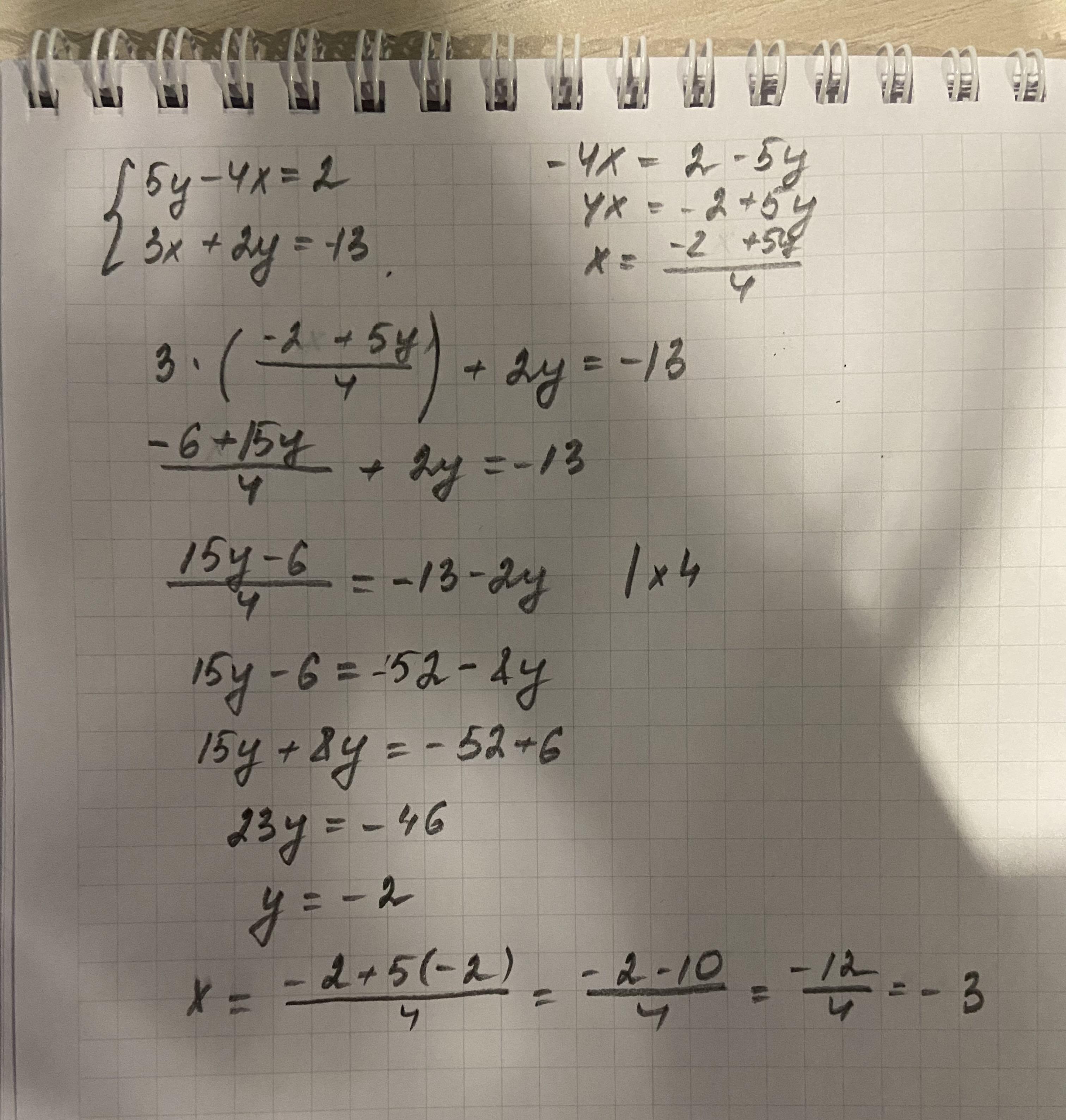
Ответ дал: nvasilyevakln
2

Ответ:

х = -3, у = -2

Объяснение:

Приложения:
Вас заинтересует