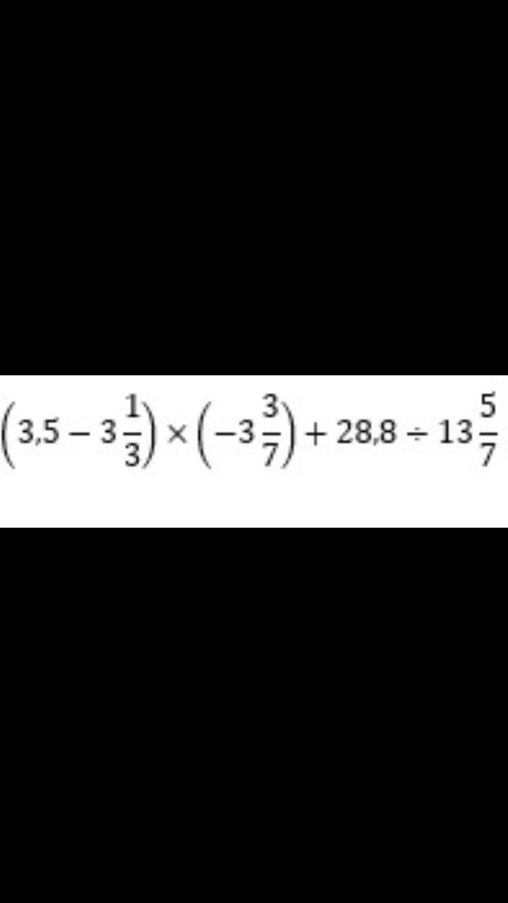
ПОЖАЛУЙСТА РЕШИТЕ ДАМ 10 БАЛЛОВ ПОЖАЛУЙСТА Я ВАМ БУДУ БЛАГОДАРНАААААААААААААААА
Приложения:

zrdshk24:
нужен только ответ?
Ответы
Ответ дал:
2
Вас заинтересует
2 года назад
2 года назад
2 года назад
7 лет назад
7 лет назад
9 лет назад