• Предмет: Алгебра
  • Автор: zharas155
  • Вопрос задан 3 года назад

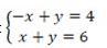
решите уравнение графическим способом
10балл

Приложения:

Ответы

Ответ дал: bouxmusin
0

Ответ:

у=-1

х=-7

Объяснение:

х=у-6

-(у-6)+у=4

у+6+у=4

2у=4-6

2у=-2

у=-1

х=у-6

х=-1-6

х=-7

Вас заинтересует