• Предмет: Математика
  • Автор: dias3376
  • Вопрос задан 3 года назад

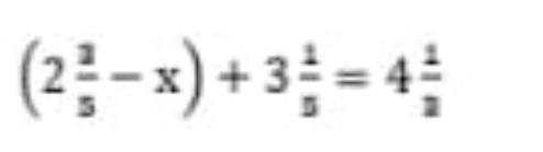
Помогите пжжжжжжжжж​

Приложения:

vokich2020: блин я не понимаю :-(
lime121: я тож
uCKyccTBoMuPa: можете написать или сфоткать четче?

Ответы

Ответ дал: kausar2818
0
6 целых 6/15
(Правильный ответ)
Вас заинтересует