помогите пожалуйста с решением
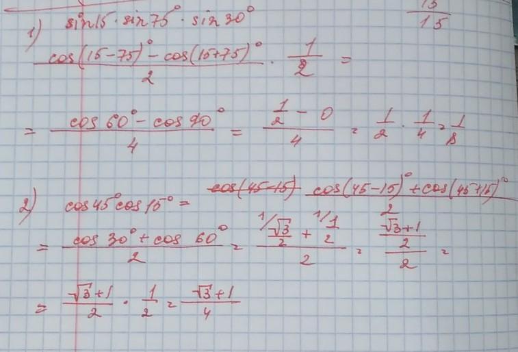
1).sin15° sin 30° sin 75°
2).cos45°cos15°
minkakang04:
нет а ты?
Ответы
Ответ дал:
1
Ответ:
1)
2)
Объяснение:
на картинке. Если не понятно пиши объясню)
синус 15 и синус 75 это не табличные углы, и поэтому мы их раписываем по формуле
Приложения:

Вас заинтересует
2 года назад
2 года назад
2 года назад
7 лет назад
7 лет назад
9 лет назад
9 лет назад