• Предмет: Алгебра
  • Автор: Аноним
  • Вопрос задан 3 года назад

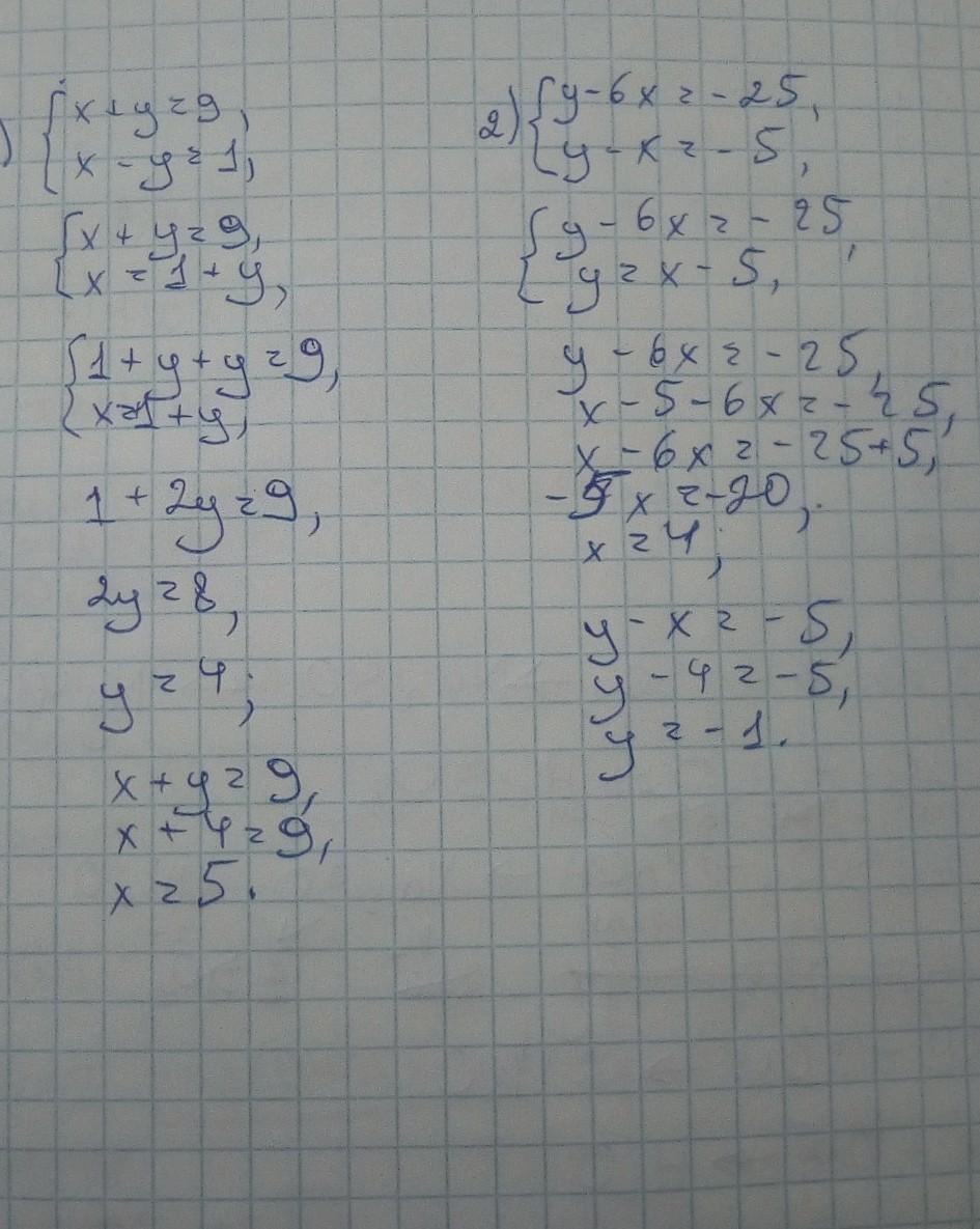
(x+y=9,
24.6.1)
x-y%3D1%
3)
V-6x=-25,
y-x=-5
СРОЧНО ​

Приложения:

Аноним: срочно
Аноним: я понимаю тебя но помочь не могу
Аноним: сори
Аноним: да
Аноним: СРОЧНО
Аноним: это
Аноним: срочноооо

Ответы

Ответ дал: 02sasha20
2

Ответ:

y=4,x=5

y=-1,x=4,решение на фото

Приложения:
Вас заинтересует