Выберите окислительно-восстановительную реакцию среди перечисленных, аргументируйте свой выбор.
1) Na2CO3 + 2HCl = 2NaCl + H2CO3
2) 2Fe(OH)3 Fe2O3 + 3H2O
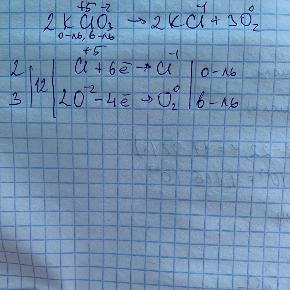
3) 2КСlO3 2KCl + 3O2 ↑
Ответы
Ответ дал:
3
Ну как-то так.... ответ 3, в др реакция степень окисления элементов не изменяется
Приложения:

Вас заинтересует
2 года назад
2 года назад
7 лет назад
7 лет назад
9 лет назад