• Предмет: Математика
  • Автор: esrcqqQAZ
  • Вопрос задан 3 года назад

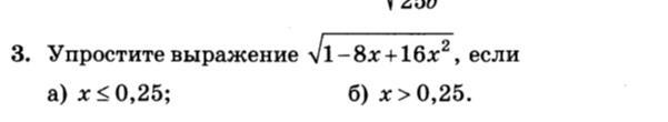
Решить прикрепленное

Приложения:

Ответы

Ответ дал: Nia27Gremory
0

Ответ:

а)___

б)1-4х

Пошаговое объяснение:

Вас заинтересует