• Предмет: Математика
  • Автор: teploodetaya
  • Вопрос задан 3 года назад

Показательные уравнения (или степенные).

Приложения:

Ответы

Ответ дал: tsarkovv
1

Пошаговое объяснение:

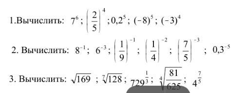
1) 7^6 = 117649

  (2/5)^4 = 16/625

  0,2^5 = 1/3125

  -8^5 = -32768

  -3^4 = -81

2) 8^-1 = 1/8

    6^-3 = 1/216

    (1/9)^-1 = 9

    (1/4)^-2 = 16

    (7/5)^-3 = 125/343

    0,3^-5 = 100000/243

3) \sqrt{169\\} = 13

   \sqrt[7]{128} = 2

    729 1/3 = 2188/3

    \sqrt[4]{81/625\\} = 36/25

   4 7/5 = 4 \sqrt[5]{16}

Вас заинтересует