• Предмет: Математика
  • Автор: amanbekovdamir705
  • Вопрос задан 3 года назад

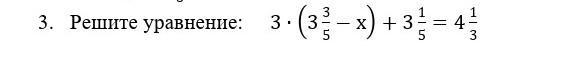
Решите уравнение
Даю 35 баллов кто решит тот кросс​

Приложения:

Ответы

Ответ дал: konnast79
1

Ответ:

3 2/9

Пошаговое объяснение:

3*(3 3/5-х)=4 1/3-3 1/5

3*(3 3/5-х)=1 2/15

3 3/5-х=1 2/15:3

3 3/5-х= 17/45

х=3 3/5-17/45

х=3 2/9


amanbekovdamir705: ау
amanbekovdamir705: ты какое делаешь
amanbekovdamir705: вообще
amanbekovdamir705: посмоьри внимательно картину
amanbekovdamir705: извини
amanbekovdamir705: я случайно попутал
Вас заинтересует