Ответы
Ответ дал:
1
Ответ:
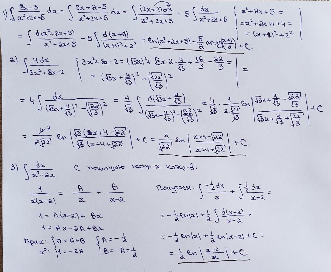
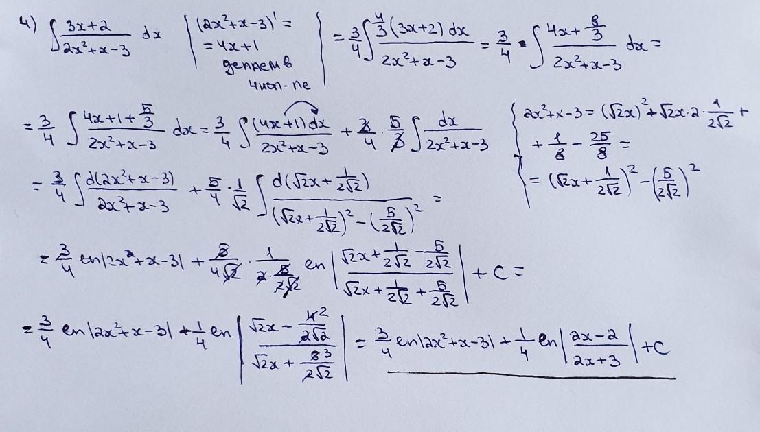
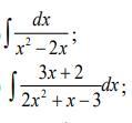
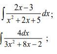
решение на фотографиях
Приложения:


Roderrik:
Премного благодарен
Вас заинтересует
2 года назад
2 года назад
2 года назад
7 лет назад
7 лет назад
9 лет назад