• Предмет: Математика
  • Автор: Аноним
  • Вопрос задан 3 года назад

Помогите 3 и 4 пожайлуста у меня СОР ​

Приложения:

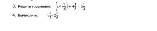
anuta162011: 2 5/8
anuta162011: 4 задание
6mertvaia6nevesta6: о чем ты?
Аноним: Она просто сказала ответ 4-го задания я не кричу
6mertvaia6nevesta6: агсь
6mertvaia6nevesta6: агась*

Ответы

Ответ дал: 6mertvaia6nevesta6
1

Ответ:

Прости я только на 2 отвечу

5 1/8-2 3/6=2 5/8


Аноним: Я узнала 3 спасибо за 4
6mertvaia6nevesta6: ок
6mertvaia6nevesta6: :)
Аноним: :)))))
Аноним: ❤♥
Вас заинтересует