• Предмет: Алгебра
  • Автор: almasbekberdiuly
  • Вопрос задан 3 года назад

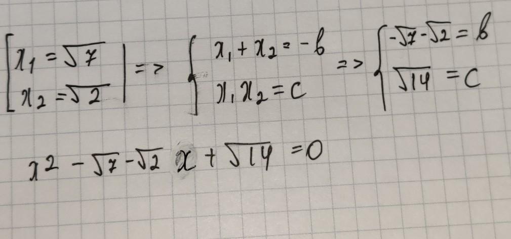
Виет теорема x1=√7, x2=√2

Ответы

Ответ дал: Glanik34
4

,.,..,.,.,.,..,.,.,.,.,

Приложения:
Вас заинтересует