• Предмет: Математика
  • Автор: borzborz348
  • Вопрос задан 3 года назад

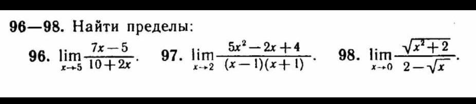
Найти пределы
инфа на фото ​

Приложения:

Ответы

Ответ дал: krampus777
1

Решение на фото

Надеюсь помог)))

Приложения:

borzborz348: от души , огромное спасибо)
krampus777: не за что)
krampus777: Через формулы делал
Вас заинтересует