выполните умножения:
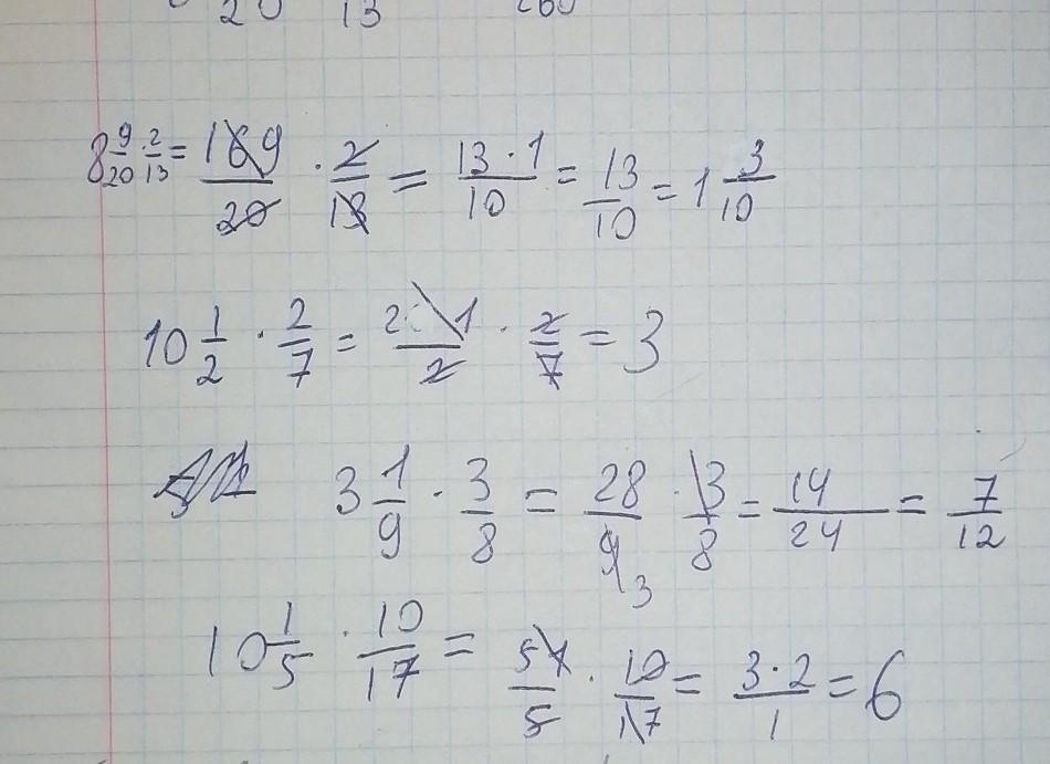
8 целых 9/20*2/13
10 целых 1/2*2/7
3 целых 1/9*3/8
10 целых 1/5*10/17
Приложения:

Ответы
Ответ дал:
0
Пошаговое объяснение:
...................... Вот
Приложения:

Вас заинтересует
2 года назад
2 года назад
2 года назад
7 лет назад
7 лет назад
9 лет назад
9 лет назад