Ответы
Ответ дал:
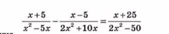
1
Объяснение:
фотомач в помощь
вот короче если не правильно
сори)
Приложения:


Вас заинтересует
2 года назад
2 года назад
2 года назад
7 лет назад
9 лет назад