• Предмет: Математика
  • Автор: alesyasharonova
  • Вопрос задан 3 года назад

Помогите пожалуйста решить эти задания. СРОЧНО!

Приложения:

Ответы

Ответ дал: avihlaev3
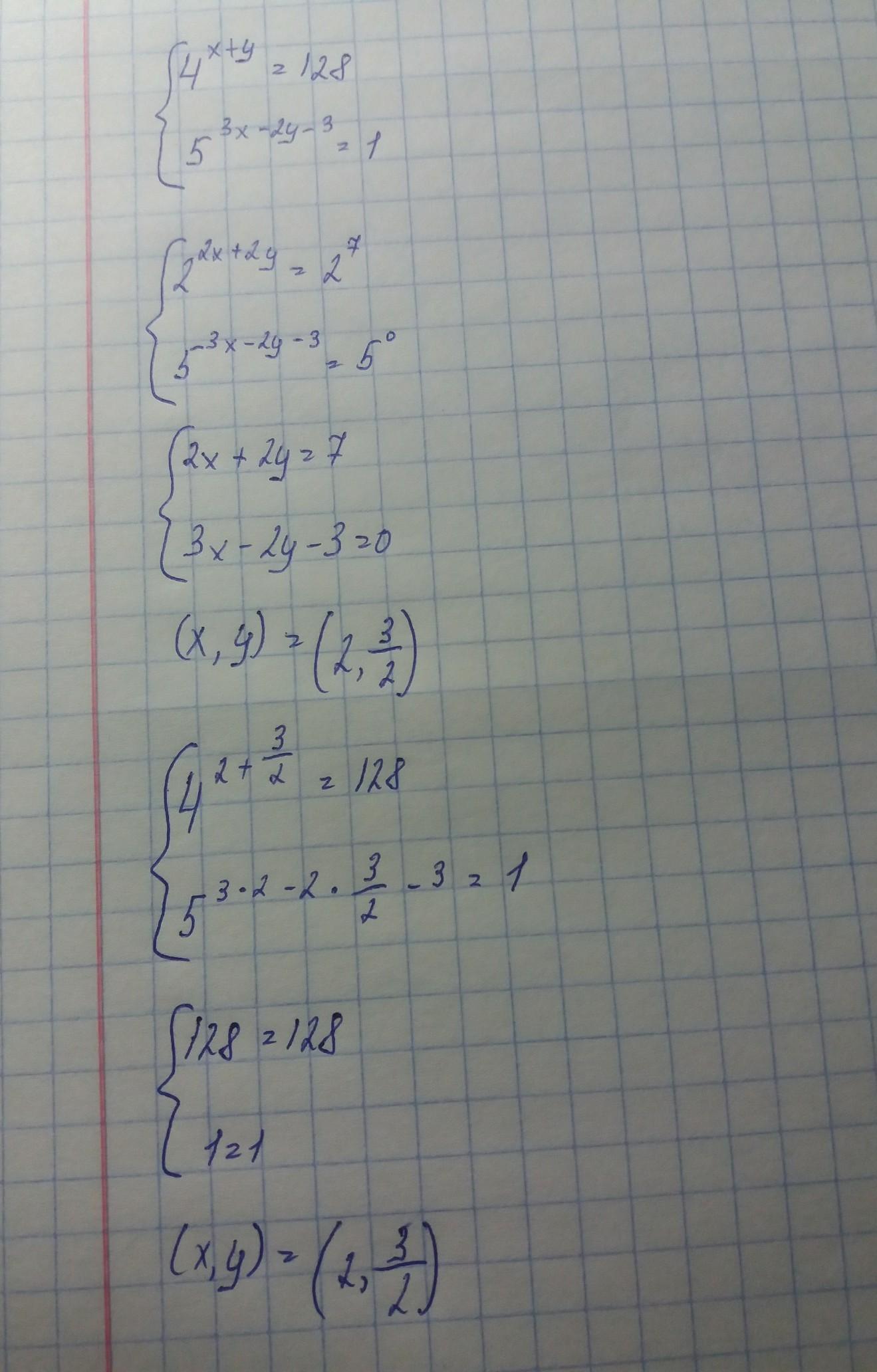
1

Ответ:

Пошаговое объяснение:

Приложения:

alesyasharonova: Сможете остальные??
avihlaev3: надеюсь смогу
alesyasharonova: Хорошо, жду
Вас заинтересует