• Предмет: Математика
  • Автор: yustinia81
  • Вопрос задан 3 года назад

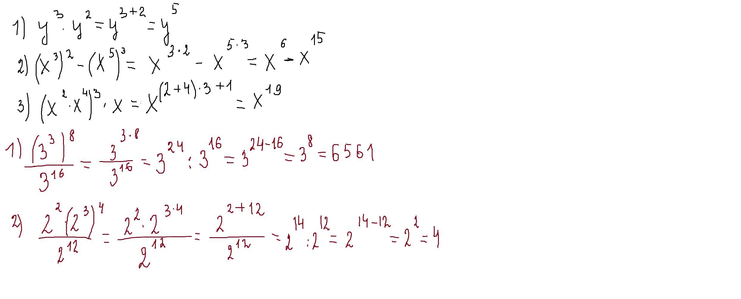
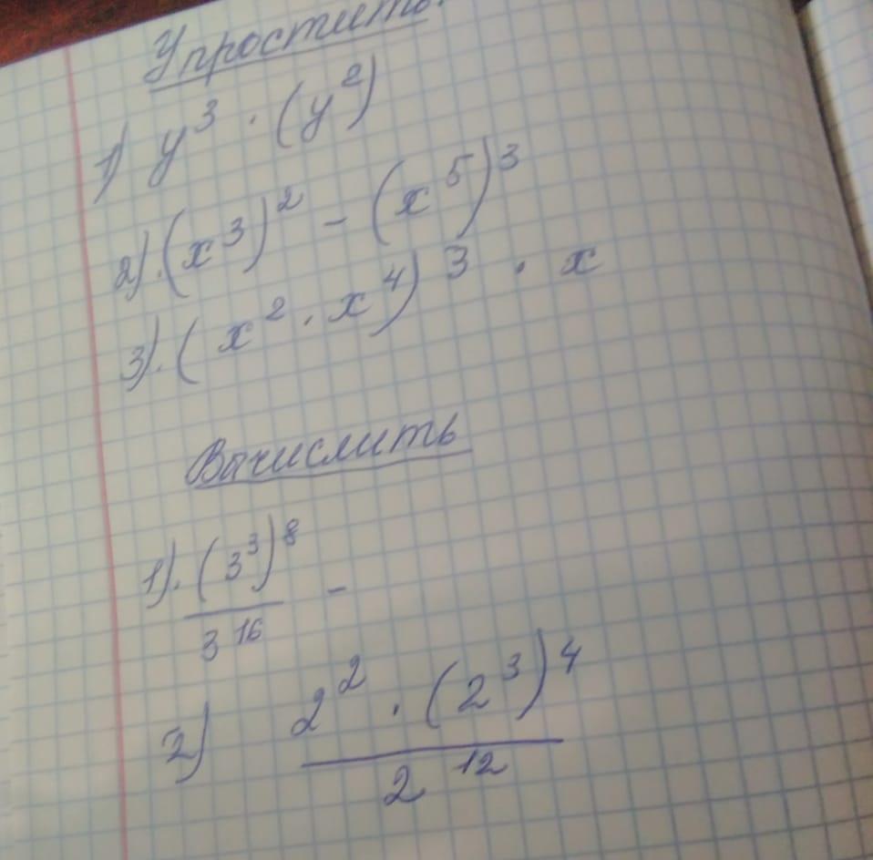
Математика помогите решить пожалуйста

Приложения:

Ответы

Ответ дал: krampus777
0

Решение на фото

Надеюсь помог)))

Приложения:
Ответ дал: parus77
0

Ответ:

Пошаговое объяснение:

решение внизу

Приложения:
Вас заинтересует