• Предмет: Математика
  • Автор: nextuz01
  • Вопрос задан 3 года назад

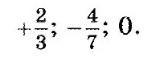
модули нада опридилить​

Приложения:

Ответы

Ответ дал: kkulik081
1

Ответ:

1) 2/3

2) 4/7

3) 0

.

.

.

.

.

.

.

.

.


nextuz01: у тебя есть вк можно
kkulik081: ссылку на мой вк? или что?
nextuz01: да
nextuz01: или ник
nextuz01: у меня контрольное нужен мопаш
nextuz01: пажалуста
kkulik081: кинь лучше ты ссылку на свой, я сама тебе напишу
nextuz01: topdava
nextuz01: напиши выйдет мой вк
nextuz01: нашла
Вас заинтересует