• Предмет: Алгебра
  • Автор: pqlnhm8e96
  • Вопрос задан 3 года назад

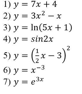
Найти производные функций. Вычислить значение в точке x=0. (т.е. y'(0))

Приложения:

Ответы

Ответ дал: hikikomorikirito
0

Ответ:

Производные

Объяснение:

1) y=7x+4 y'=7 y'(0)=7

2) y=3^2(X) - x  y'=6x - 1   y'(0)=6*0 -1= -1

3) y=ln(5x+1)=5/5x+1   y'(0)=5/5*0+1=5

4) y=sin2x  y'= 2cos(2x)   y'(0)=2*cos(2*0)=2*1=2

5) y=(0,5x -3)^2=(0,5x-3)(0,5x-3)  y'=0,5*(0,5x-3) + (0,5x+3)*0,5= 0,5x -3

 y'(0)=0.5*0-3= -3

6) y=x^-3= 1/x^3   y'= -3/x^4     y'(0)=-3/0^4=0

7) y=e^3x    y'=3*e^3x    y'(0)=3*e^3*0= 3*1=3

Вас заинтересует