• Предмет: Алгебра
  • Автор: 5hgidto93j
  • Вопрос задан 3 года назад

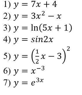
Найти производные функций. Вычислить значение в точке x=0. (т.е. y'(0))

Приложения:

Ответы

Ответ дал: qqqqqq1qz9
0

Ответ:

1)х=-4/7

2)у=3(х-1/6)^2-1/12

3)х=0

4)х=kπ/2,k€Z

5)x=6

6)нет пересечения с осью х / корней

7)нет пересечения с осью х / корней

Вас заинтересует