Ответы
Ответ дал:
1
Ответ:
Пошаговое объяснение:
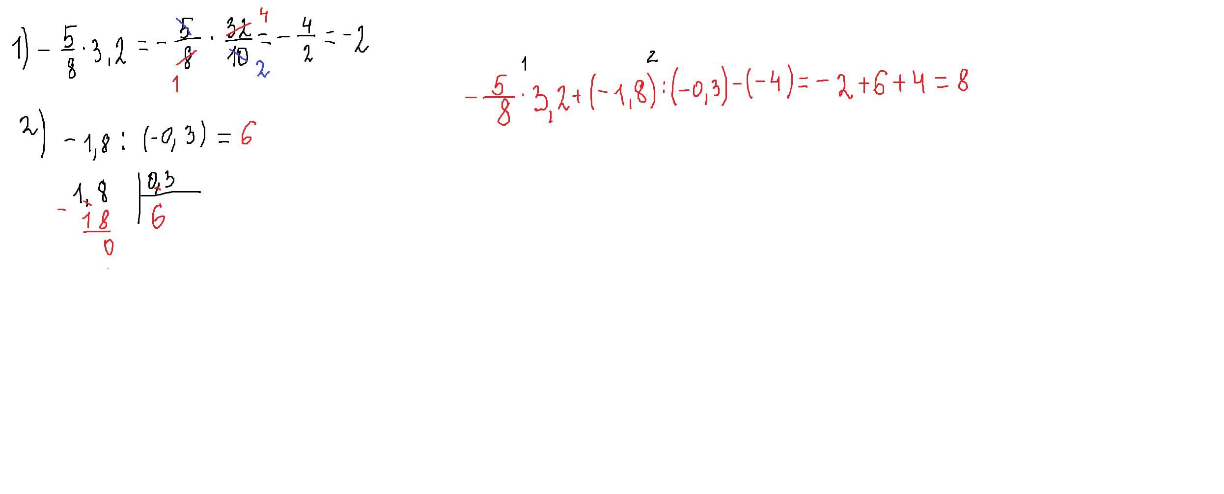
решение внизу
Приложения:

Ответ дал:
1
Пошаговое объяснение:
Вас заинтересует
2 года назад
2 года назад
2 года назад
7 лет назад