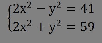
Помогитееееее!!!!! Пожалуйстааа!!!! Решите данную систему уравнений способом сложения.
Приложения:

Ответы
Ответ дал:
1
Ответ:
После сложения:
4x^2=100
x^2=25
x=±5
Находим у через любое из этих уравнений
2*25+y^2=59
y^2=9
y=±3
(-5;-3), (-5;3), (5;-3), (5;3)
Ответ дал:
1
Объяснение:
{2х²-у²=41 | +
{2х²+у²=59 |
4х²=100
х²=100÷4
х²=25
х1=5, х2= -5, х3=5, х4= -5
2•5²-у²=41 2•(-5)²-у²=41
2•25-у²=41 у3=-3, у4= 3
50-у²=41
-у²=41-50
-у²= -9
у²=9
у1= -3, у2=3, у3= -3, у4=3
Ответ: х1=-5, у1=-3, х2= -5, у2= 3, х3=5, у3= -3, х4=5, у4=3
Вас заинтересует
2 года назад
2 года назад
2 года назад
7 лет назад
9 лет назад
9 лет назад