• Предмет: Алгебра
  • Автор: tahbi0508
  • Вопрос задан 3 года назад

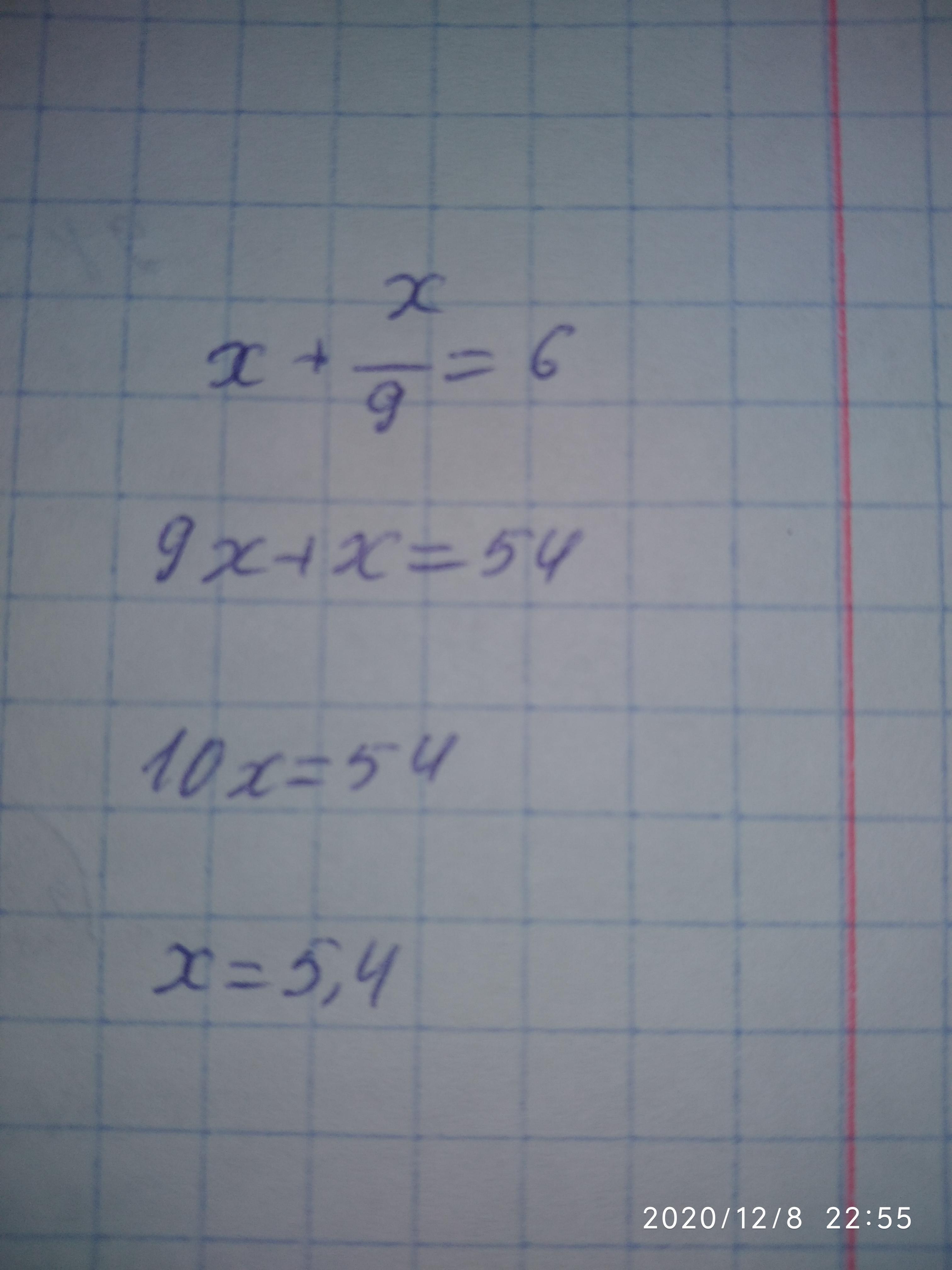
×+×/9=6
Можете пожалуйста решить подробно?! :) ​

Ответы

Ответ дал: Аноним
1

.................................................

Приложения:

tahbi0508: :)
tahbi0508: а можешь сказать откуда 54?
Аноним: он(а) просто сократила еще мои 27/5 - перевела
Аноним: оба варианта ответа верны
tahbi0508: не, откуда 54
tahbi0508: в примемере
tahbi0508: примере*
Аноним: умножила обе части уравнения на 9
tahbi0508: ааа все поняла
tahbi0508: спасибо
Ответ дал: Anet000
1

Ответ:

Ответ на фотографии

Объяснение:

Приложения:

tahbi0508: спасибочки
tahbi0508: а откуда 54
Anet000: обе части уравнения умножаются на 9.
tahbi0508: спасибо большое
Вас заинтересует