• Предмет: Математика
  • Автор: kuhna33
  • Вопрос задан 3 года назад

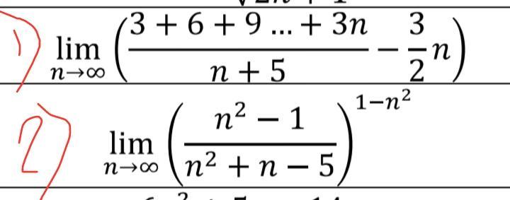
Помогите решить два предела

Приложения:

Ответы

Ответ дал: iosiffinikov
0

Ответ:

1) -6

2) +бесконечность

Пошаговое объяснение:

1) преобразуем выражение :

1,5n( (n+1)/(n+5)-1))=1,5n(-4/(n+5))=-6*(n/(n+5))

Предел, очевидно , равен (-6)

2)  преобразуем выражение :

(1 +(n-4)/(n^2-1))^(n^2-1)

заменим   m=n^2-1   n=sqrt(m+1)

(1+(sqrt(m+1)-4)/m))^m

предел, очевидно не существует ( равен   +бесконечности)

Извините, написал кратко, но, надеюсь, понятно.

Вас заинтересует